⒉牽伸倍數 轉杯紡紗需計算的牽伸倍數有喂給羅拉至引紗羅拉間的主牽伸倍數e1,引紗羅拉至卷澆羅拉間的張力牽伸e2及全機總牽伸E。根據牽伸基本原理。各牽伸倍數可以下式進行計算:

式中:d出——為出條羅拉直徑(mm);
d入——為喂入羅拉直徑(mm);
——為輸入機件與輸出機件的傳動比。

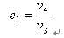
(1)主伸倍數
(2)張力牽伸倍數e2 設筒子的卷繞速度為V,卷繞羅拉的圓周速度為VY,橫紗導紗速度為Vx,則三者的關系見圖9-2-21,圖中β為卷繞角。
從圖中可知,三者的關系為:

根據牽伸理論:

式中dy——卷繞羅拉的直徑(mm);
d4——引紗羅拉的直徑(mm);
z4/zy——引紗羅拉至卷澆羅拉間的傳動比。
張力牽伸倍數的大小影響筒子的松緊和斷頭,一般條件下,張力牽伸倍數愈大,成紗強力愈高,筒子卷繞愈緊密,但張力牽伸倍數過大,斷頭率增高,張力牽伸應根據以下因素在0.96~1.0范圍內選擇:
A.成紗捻度大時,張力牽伸宜大,反之宜小。
B.纖維長度長,線密度小,整齊度好時,張力牽伸宜大,反之宜小。
C.輸出速度快,張力牽伸宜小,反之宜大。
(3)總牽伸倍數E 總牽伸倍數為兩部分牽伸的連乘積,即:

<<上一頁[1][2][3]下一頁>>
相關信息 







推薦企業(yè)
推薦企業(yè)
推薦企業(yè)